×
Close
Sign Up
Login
Home
Library S
Library D
Events & Partner
WeMed
MDLA Events Platform
Events
Media Partners
Educational Partner
User Tools
FAQ/USER GUIDE
Language
English
中文/ Chinese
French
Português
Español
Arabic
Russian
Contact Us
×
Close
mdla_1
mdla_2
mdla_3
mdla_4
mdla_5
mdla_6
Categories
Endocrinology, Metabolism & Nutrition
24508
Global Medical University
5183
Allergy
1797
Anatomy & Morphology
1557
Andrology
379
Anesthesia & Intensive Care
1283
Anesthesiology
5482
Audiology & Speech-Language Pathology
347
Behavioral Sciences
100
Biochemical Research Methods
7151
Biochemistry & Molecular Biology
30003
Biodiversity Conservation
325
Biology
8467
Biophysics
8235
Biotechnology & Applied Microbiology
8619
Cardiac & Cardiovascular Systems
31104
Cardiovascular & Respiratory Systems
1386
Cell & Tissue Engineering
698
Cell Biology
11205
Chemistry, Analytical
4295
Chemistry, Applied
10944
Chemistry, Medicinal
8741
Chemistry, Multidisciplinary
18552
Clinical Immunology & Infectious Disease
454
Clinical Medicine
8956
Clinical Neurology
16633
Clinical Psychology & Psychiatry
1312
Critical Care Medicine
3207
Dentistry, Oral Surgery & Medicine
13516
Dermatology
7470
Developmental Biology
6919
Ecology
645
Education, Scientific Disciplines
2077
Emergency Medicine
4091
Engineering, Biomedical
3763
Entomology
450
Environmental Medicine & Public Health
4726
Evolutionary Biology
268
Gastroenterology & Hepatology
12230
General & Internal Medicine
6967
Genetics & Heredity
15104
Geriatrics & Gerontology
5137
Gerontology
370
Health Care Sciences & Services
16195
Health Policy & Services
651
Hematology
5614
Immunology
24753
Infectious Diseases
13994
Integrative & Complementary Medicine
2935
Medical Ethics
1224
Medical Informatics
2273
Medical Laboratory Technology
419
Medicine, General & Internal
44296
Medicine, Legal
532
Medicine, Research & Experimental
17759
Microbiology
23301
Mycology
0
Nanoscience & Nanotechnology
5442
Neuroimaging
1396
Neurology
4550
Neurosciences
39758
Nursing
9717
Nutrition & Dietetics
7868
Obstetrics & Gynecology
8295
Oncology
52298
Ophthalmology
9732
Optics
4271
Orthopedics
11783
Orthopedics, Rehabilitation & Sports Medicine
1818
Otolaryngology
1592
Otorhinolaryngology
4868
Parasitology
1125
Pathology
5114
Pediatrics
21654
Peripheral Vascular Disease
4833
Pharmacology & Pharmacy
35348
Pharmacology/Toxicology
12123
Physiology
8907
Polymer Science
533
Primary Health Care
871
Psychiatry
19103
Psychology
5220
Psychology, Applied
112
Psychology, Biological
389
Psychology, Clinical
812
Psychology, Developmental
244
Psychology, Educational
169
Psychology, Experimental
166
Psychology, Mathematical
0
Psychology, Multidisciplinary
1688
Psychology, Psychoanalysis
30
Psychology, Social
119
Public Health & Health Care Science
2248
Public, Environmental & Occupational Health
27118
Quantum Science & Technology
0
Radiology, Nuclear Medicine & Imaging
12411
Radiology, Nuclear Medicine & Medical Imaging
8121
Rehabilitation
3059
Remote Sensing
0
Reproductive Biology
2865
Reproductive Medicine
1201
Research/Laboratory Medicine & Medical Technology
3974
Respiratory System
7431
Rheumatology
6057
Social Sciences, Biomedical
1203
Substance Abuse
2758
Surgery
33806
Toxicology
4444
Transplantation
948
Tropical Medicine
300
Urology & Nephrology
13036
Veterinary Sciences
35
Virology
2505
Zoology
0
Channels
INTERNATIONAL JOURNAL OF DIABETES IN DEVELOPING COUNTRIES
352
NEJM Endocrinology
9
Medrxiv - Endocrinology Medrxiv
464
AMERICAN JOURNAL OF PHYSIOLOGY-CELL PHYSIOLOGY
449
BEST PRACTICE & RESEARCH CLINICAL ENDOCRINOLOGY & METABOLISM
234
BIOLOGY OF SEX DIFFERENCES
188
BMJ OPEN DIABETES RESEARCH & CARE
392
BONE
0
CALCIFIED TISSUE INTERNATIONAL
353
CARDIOVASCULAR DIABETOLOGY
629
CURRENT DIABETES REPORTS
173
CURRENT OBESITY REPORTS
148
CURRENT OPINION IN ENDOCRINOLOGY DIABETES AND OBESITY
160
CURRENT OPINION IN LIPIDOLOGY
127
CURRENT OSTEOPOROSIS REPORTS
208
DIABETES
134
DIABETES & METABOLISM
221
DIABETES & METABOLISM JOURNAL
40
DIABETES CARE
194
DIABETES METABOLIC SYNDROME AND OBESITY-TARGETS AND THERAPY
977
DIABETES OBESITY & METABOLISM
293
DIABETES RESEARCH AND CLINICAL PRACTICE
0
DIABETES-METABOLISM RESEARCH AND REVIEWS
105
DIABETIC MEDICINE
215
DIABETOLOGIA
527
ENDOCRINE
676
ENDOCRINE PATHOLOGY
195
ENDOCRINE PRACTICE
643
EUROPEAN THYROID JOURNAL
14
FRONTIERS IN ENDOCRINOLOGY
5631
HORMONES AND BEHAVIOR
333
JOURNAL OF BONE AND MINERAL RESEARCH
173
JOURNAL OF DIABETES
88
JOURNAL OF DIABETES INVESTIGATION
241
JOURNAL OF ENDOCRINOLOGICAL INVESTIGATION
628
JOURNAL OF HUMAN NUTRITION AND DIETETICS
94
JOURNAL OF NEUROENDOCRINOLOGY
106
JOURNAL OF PARENTERAL AND ENTERAL NUTRITION
235
LANCET DIABETES & ENDOCRINOLOGY
0
METABOLISM-CLINICAL AND EXPERIMENTAL
10
MOLECULAR METABOLISM
563
NATURE REVIEWS ENDOCRINOLOGY
430
NEUROENDOCRINOLOGY
148
NUTRITION & DIABETES
110
OBESITY
133
OBESITY REVIEWS
115
PEDIATRIC DIABETES
77
PSYCHONEUROENDOCRINOLOGY
0
THERAPEUTIC ADVANCES IN ENDOCRINOLOGY AND METABOLISM
31
ARCHIVES OF ENDOCRINOLOGY METABOLISM
0
CLINICAL ENDOCRINOLOGY
171
DIABETES & VASCULAR DISEASE RESEARCH
16
DIABETOLOGY & METABOLIC SYNDROME
506
ENDOCRINOLOGIA DIABETES Y NUTRICION
402
GENERAL AND COMPARATIVE ENDOCRINOLOGY
0
INTERNATIONAL JOURNAL OF SPORT NUTRITION AND EXERCISE METABOLISM
170
JOURNAL OF BIOLOGICAL REGULATORS AND HOMEOSTATIC AGENTS
139
JOURNAL OF CLINICAL DENSITOMETRY
264
JOURNAL OF DIABETES AND ITS COMPLICATIONS
451
NEUROIMMUNOMODULATION
82
OBESITY FACTS
160
REPRODUCTIVE BIOLOGY AND ENDOCRINOLOGY
392
WORLD REVIEW OF NUTRITION AND DIETETICS
30
HORMONE AND METABOLIC RESEARCH
348
NEUROPEPTIDES
181
THYROID RESEARCH
97
REVISTA DE OSTEOPOROSIS Y METABOLISMO MINERAL
44
BRITISH JOURNAL OF DIABETES
115
CLINICAL MEDICINE INSIGHTS-ENDOCRINOLOGY AND DIABETES
20
CLINICAL OBESITY
33
CLINICAL REVIEWS IN BONE AND MINERAL METABOLISM
38
DIABETOLOGY INTERNATIONAL
208
JOURNAL OF DIABETES AND METABOLIC DISORDERS
536
JOURNAL OF DIABETOLOGY
126
JOURNAL OF THE ASEAN FEDERATION OF ENDOCRINE SOCIETIES
197
OBESITY SCIENCE & PRACTICE
87
PITUITARY
278
OSTEOPOROSIS INTERNATIONAL
585
REVIEWS IN ENDOCRINE & METABOLIC DISORDERS
270
DIABETES THERAPY
462
HORMONES-INTERNATIONAL JOURNAL OF ENDOCRINOLOGY AND METABOLISM
278
METABOLIC BRAIN DISEASE
556
SCI Abstract
search
ALL
RECOMMENDED
+
Self-care practices and their determinants among older adults with diabetes and hypertension in India: Evidence from a national survey
Diabetes Mellitus (DM) and Hypertension (HTN) are major public health challenges among older adults. Effective management ...
International Journal Of Diabetes In Developing Countries
comment
0
thumb_up
0
Meta-analysis comparing the safety profiles of SGLT2 inhibitors and sulfonylureas in Asian patients with type 2 diabetes
Some Asian countries have less developed pharmacovigilance systems than in the West. Generally, SGLT2 inhibitors, as the n...
International Journal Of Diabetes In Developing Countries
comment
0
thumb_up
0
The rs12255372 variant as a predictor of type 2 diabetes susceptibility in the Iraqi Middle Euphrates region
Type 2 diabetes mellitus (T2DM) is a significant global health burden due to rising incidence, cardiovascular complication...
International Journal Of Diabetes In Developing Countries
comment
0
thumb_up
0
Catalase-262C/T polymorphism and diabetic nephropathy in suburban Mumbai: A pilot study
Diabetic nephropathy (DN) is a leading cause of end-stage renal disease, and genetic predisposition plays a crucial role i...
International Journal Of Diabetes In Developing Countries
comment
0
thumb_up
0
Bidirectional association between depression and type 2 diabetes mellitus: A systematic review and meta-analysis of prospective cohort studies
The bidirectional relationship between depression and type 2 diabetes mellitus (T2DM) has gained increasing attention, yet...
International Journal Of Diabetes In Developing Countries
comment
0
thumb_up
0
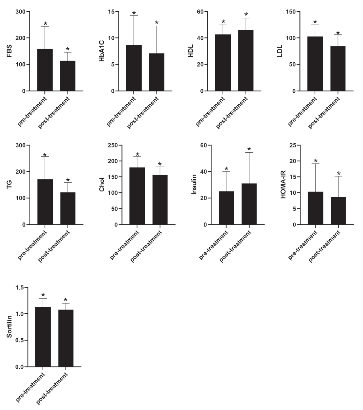
The effects of atorvastatin consumption on blood levels of sortilin, glycemic, and lipid indices in type 2 diabetic patients: A randomized clinical trial
Atorvastatin is a lipophilic statin that exhibits pleiotropic effects beyond cholesterol (Chol) reduction. Sortilin is one...
International Journal Of Diabetes In Developing Countries
comment
0
thumb_up
0
Comparison of estimated Glomerular Filtration Rate using the CKD-EPI (Scr) 2009 and CKD-EPI (Scr) 2021 (race-free) equations among people with type 2 diabetes in a tertiary care setting in India
Limited studies are available to assess transition effect in eGFR using the CKD-EPI (Scr) 2021 among Indians with type 2 d...
International Journal Of Diabetes In Developing Countries
comment
0
thumb_up
0
MACE and MALE outcome with rivaroxaban following endovascular peripheral arterial intervention in diabetes: A real-world study
Peripheral artery disease (PAD) affects millions globally, with a significant proportion also having diabetes mellitus (DM...
International Journal Of Diabetes In Developing Countries
comment
0
thumb_up
0
Role of serum pentraxin-3 levels in patients with and without diabetic nephropathy
Several studies have reported that increased pentraxin-3 (PTX3) levels are associated with impaired renal function in chro...
International Journal Of Diabetes In Developing Countries
comment
0
thumb_up
0
Unveiling the link between lifestyle risk factors and diabetic retinopathy
Diabetic retinopathy (DR) is recognized as a significant complication of diabetes and continues to be a prominent contribu...
International Journal Of Diabetes In Developing Countries
comment
0
thumb_up
0
High remnant cholesterol is prevalent among type 2 diabetes mellitus patients in the New Juaben Municipality: A cross-sectional study
Diabetes mellitus (DM) is a global metabolic disorder with high cardiovascular risk. Information on remnant cholesterol (R...
International Journal Of Diabetes In Developing Countries
comment
0
thumb_up
0
Diabetes care in India and Southeast Asia: the way forward
It is an immense privilege to contribute this editorial to the International Journal ...
International Journal Of Diabetes In Developing Countries
comment
0
thumb_up
0
Quality of life assessment and therapeutic adherence in Mexican patients with type 2 diabetes
Patients with diabetes mellitus experience physical health needs, but also psychological health needs, as some studies hav...
International Journal Of Diabetes In Developing Countries
comment
0
thumb_up
0
Study on risk factors of carotid atherosclerosis in type 2 diabetes mellitus and development of prediction model
Diabetes mellitus is a metabolic disease, characterized by chronic hyperglycemia that increases the risk of cardiovascular...
International Journal Of Diabetes In Developing Countries
comment
0
thumb_up
0
Prediction of type II diabetes mellitus based on demographic features by the use of machine learning classification algorithms — a study across Assam, India
The incidence of type II diabetes mellitus (T2DM) has quadruplicated in the recent decades and Prevention of T2DM cases is...
International Journal Of Diabetes In Developing Countries
comment
0
thumb_up
0
Severe limited joint mobility (LJM) involving both the hands and feet in type 1 diabetes mellitus
Limited joint mobility (LJM) is one of the most common disabling musculo-skeletal complications in long-standing ...
International Journal Of Diabetes In Developing Countries
comment
0
thumb_up
0
Surrogate markers of metabolic syndrome and insulin resistance in children and young adults with type 1 diabetes: a systematic review & meta-analysis (MetS and IR in T1DM)
Metabolic syndrome (MetS) and insulin resistance (IR) are associated with diabetes. Insulin therapy in type 1 diabetes (T1...
International Journal Of Diabetes In Developing Countries
comment
0
thumb_up
0
Being a parent to a child with diabetes: systematic review of qualitative evidence from Asia
Parenting a child with diabetes can be extremely challenging, impacting the parent’s mental health and life trajecto...
International Journal Of Diabetes In Developing Countries
comment
0
thumb_up
0
Optimized multiparametric approach for early detection of kidney disease in diabetic patients
Diabetic Kidney Disease (DKD) is a serious complication of diabetes. Identifying high-risk DKD patients can lead to better...
International Journal Of Diabetes In Developing Countries
comment
0
thumb_up
0
Prevalence and risk factors associated with diabetic foot ulcer in India: a systematic review and meta-analysis
Diabetes mellitus is a prevalent chronic health condition associated with high blood glucose levels. Among its complicatio...
International Journal Of Diabetes In Developing Countries
comment
0
thumb_up
0
Basal serum cortisol levels; significant predictors to DKA duration
Diabetes mellitus is the most common pediatric endocrinal disorder. Diabetic ketoacidosis is one of the most serious life-...
International Journal Of Diabetes In Developing Countries
comment
0
thumb_up
0
Evaluating the accuracy and adequacy of ChatGPT in responding to queries of diabetes patients in primary healthcare
This study evaluates the accuracy and adequacy of Chat Generative Pre-trained Transformer (ChatGPT) in responding to commo...
International Journal Of Diabetes In Developing Countries
comment
0
thumb_up
0
The effect of technology awareness education (TECAwEd) on willingness to use diabetes technologies: A quasi-experimental study
This study aimed to determine the effect of technology awareness education (TECAwEd) on willingness to use diabetes techno...
International Journal Of Diabetes In Developing Countries
comment
0
thumb_up
0
Clinical profile of monogenic diabetes: A case series from a single South Indian diabetes clinic
Monogenic diabetes mellitus (MDM) represents a diverse group of uncommon form of diabetes. Based on the number of reported...
International Journal Of Diabetes In Developing Countries
comment
0
thumb_up
0
Enhancing comprehensive diabetic care: A smartphone fundus camera with an offline AI-powered diabetic retinopathy screening solution for physicians
Publisher's NoteSpringer Nature remains neutral with regard to jurisdictional claims in published maps and institutional a...
International Journal Of Diabetes In Developing Countries
comment
0
thumb_up
0
Usefulness of sudomotor function assessment in individuals with type-2 diabetes: A case–control study
Early screening for type 2 diabetes is crucial to prevent complications such as peripheral neuropathy and their detrimenta...
International Journal Of Diabetes In Developing Countries
comment
0
thumb_up
0
Prevalence of obesity and cardiometabolic risk factors among Alavi Bohra adult women
Prevalence rates and the relationship between various invasive and non-invasive markers of cardiometabolic health for Indi...
International Journal Of Diabetes In Developing Countries
comment
0
thumb_up
0
Undiagnosed Diabetic Retinopathy : Burden and Clinico Demographic Profile
Worldwide, above 50% of Diabetic retinopathy (DR) remains undiagnosed. As the number of people living with diabetes (PLWD)...
International Journal Of Diabetes In Developing Countries
comment
0
thumb_up
0
Family-based association of 4q27chromosomal region covering IL2-IL21 genes with type 1 diabetes (T1D)—a study of genetic risk factors
Pancreatic beta cell destruction is a hallmark of type 1 diabetes (T1D), a heterogeneous disorder with a wide range of pot...
International Journal Of Diabetes In Developing Countries
comment
0
thumb_up
0
The effect of atorvastatin on the concentrations of methylglyoxal, glyoxalase 1, and aldo–keto reductase family 1 member B10 in patients with type 2 diabetes mellitus and prediabetes
Type 2 diabetes mellitus (T2DM) is often associated with metabolic disorders. Statin drugs are potent inhibitors of choles...
International Journal Of Diabetes In Developing Countries
comment
0
thumb_up
0
Load More
Modal title
×
Modal title
×
Share
Login
Global News and Health Forum
Join Now!
Member Login
Remember me
Forgot password?
Or using
Linkedin