×
Close
Sign Up
Login
Home
Library S
Library D
Events & Partner
WeMed
MDLA Events Platform
Events
Media Partners
Educational Partner
User Tools
FAQ/USER GUIDE
Language
English
中文/ Chinese
French
Português
Español
Arabic
Russian
Contact Us
×
Close
mdla_1
mdla_2
mdla_3
mdla_4
mdla_5
mdla_6
Categories
Surgery
33614
Global Medical University
5113
Allergy
1797
Anatomy & Morphology
1583
Andrology
379
Anesthesia & Intensive Care
1291
Anesthesiology
5446
Audiology & Speech-Language Pathology
347
Behavioral Sciences
100
Biochemical Research Methods
7103
Biochemistry & Molecular Biology
29859
Biodiversity Conservation
345
Biology
8412
Biophysics
8194
Biotechnology & Applied Microbiology
8576
Cardiac & Cardiovascular Systems
30897
Cardiovascular & Respiratory Systems
1370
Cell & Tissue Engineering
698
Cell Biology
11150
Chemistry, Analytical
4280
Chemistry, Applied
10842
Chemistry, Medicinal
8713
Chemistry, Multidisciplinary
18458
Clinical Immunology & Infectious Disease
436
Clinical Medicine
8939
Clinical Neurology
16529
Clinical Psychology & Psychiatry
1293
Critical Care Medicine
3176
Dentistry, Oral Surgery & Medicine
13442
Dermatology
7452
Developmental Biology
6868
Ecology
642
Education, Scientific Disciplines
2050
Emergency Medicine
4061
Endocrinology, Metabolism & Nutrition
24334
Engineering, Biomedical
3733
Entomology
449
Environmental Medicine & Public Health
4690
Evolutionary Biology
274
Gastroenterology & Hepatology
12187
General & Internal Medicine
6910
Genetics & Heredity
15002
Geriatrics & Gerontology
5099
Gerontology
366
Health Care Sciences & Services
16114
Health Policy & Services
646
Hematology
5583
Immunology
24571
Infectious Diseases
13948
Integrative & Complementary Medicine
2928
Medical Ethics
1230
Medical Informatics
2248
Medical Laboratory Technology
419
Medicine, General & Internal
44061
Medicine, Legal
532
Medicine, Research & Experimental
17679
Microbiology
23182
Mycology
0
Nanoscience & Nanotechnology
5461
Neuroimaging
1404
Neurology
4550
Neurosciences
39412
Nursing
9726
Nutrition & Dietetics
7834
Obstetrics & Gynecology
8235
Oncology
51942
Ophthalmology
9681
Optics
4263
Orthopedics
11693
Orthopedics, Rehabilitation & Sports Medicine
1796
Otolaryngology
1588
Otorhinolaryngology
4846
Parasitology
1133
Pathology
5111
Pediatrics
21508
Peripheral Vascular Disease
4796
Pharmacology & Pharmacy
35200
Pharmacology/Toxicology
12027
Physiology
8825
Polymer Science
531
Primary Health Care
868
Psychiatry
18943
Psychology
5202
Psychology, Applied
112
Psychology, Biological
388
Psychology, Clinical
807
Psychology, Developmental
243
Psychology, Educational
163
Psychology, Experimental
166
Psychology, Mathematical
0
Psychology, Multidisciplinary
1677
Psychology, Psychoanalysis
30
Psychology, Social
119
Public Health & Health Care Science
2230
Public, Environmental & Occupational Health
27003
Quantum Science & Technology
0
Radiology, Nuclear Medicine & Imaging
12305
Radiology, Nuclear Medicine & Medical Imaging
8056
Rehabilitation
3028
Remote Sensing
0
Reproductive Biology
2854
Reproductive Medicine
1190
Research/Laboratory Medicine & Medical Technology
3963
Respiratory System
7391
Rheumatology
6028
Social Sciences, Biomedical
1190
Substance Abuse
2740
Toxicology
4439
Transplantation
948
Tropical Medicine
300
Urology & Nephrology
12899
Veterinary Sciences
35
Virology
2515
Zoology
0
Channels
Aesthetic Surgery Journal
111
The Surgery Journal
67
NEJM Surgery
3
Medrxiv - Surgery
263
AMERICAN JOURNAL OF SURGICAL PATHOLOGY
432
ANNALS OF SURGERY
543
ANNALS OF SURGICAL ONCOLOGY
1228
BONE & JOINT JOURNAL
259
BRITISH JOURNAL OF SURGERY
19
DIGESTIVE ENDOSCOPY
252
DISEASES OF THE COLON & RECTUM
458
JAMA OTOLARYNGOLOGY-HEAD & NECK SURGERY
71
JOURNAL OF BONE AND JOINT SURGERY-AMERICAN VOLUME
447
JOURNAL OF THE AMERICAN COLLEGE OF SURGEONS
11
JOURNAL OF TRAUMA AND ACUTE CARE SURGERY
535
KNEE SURGERY SPORTS TRAUMATOLOGY ARTHROSCOPY
864
LIVER TRANSPLANTATION
267
PLASTIC SURGERY
61
WORLD JOURNAL OF EMERGENCY SURGERY
151
AMERICAN SURGEON
381
ANNALS OF PLASTIC SURGERY
373
ANZ JOURNAL OF SURGERY
416
BRAZILIAN JOURNAL OF CARDIOVASCULAR SURGERY
0
CLINICAL NEUROLOGY AND NEUROSURGERY
1058
CLINICAL TRANSPLANTATION
224
COLORECTAL DISEASE
397
EUROPEAN SURGICAL RESEARCH
93
FRONTIERS IN SURGERY
3053
GERIATRIC ORTHOPAEDIC SURGERY & REHABILITATION
58
INJURY-INTERNATIONAL JOURNAL OF THE CARE OF THE INJURED
1199
INTERNATIONAL JOURNAL OF LOWER EXTREMITY WOUNDS
114
INTERNATIONAL JOURNAL OF MEDICAL ROBOTICS AND COMPUTER ASSISTED SURGERY
99
INTERNATIONAL WOUND JOURNAL
166
JOURNAL OF CRANIOFACIAL SURGERY
138
JOURNAL OF HEPATO-BILIARY-PANCREATIC SCIENCES
161
JOURNAL OF KOREAN NEUROSURGICAL SOCIETY
20
JOURNAL OF MINIMALLY INVASIVE GYNECOLOGY
826
JOURNAL OF ORTHOPAEDIC SURGERY
54
JOURNAL OF RECONSTRUCTIVE MICROSURGERY
284
KNEE
0
MICROSURGERY
95
OPHTHALMIC PLASTIC AND RECONSTRUCTIVE SURGERY
114
ORTHOPAEDICS & TRAUMATOLOGY-SURGERY & RESEARCH
2
SEMINARS IN PEDIATRIC SURGERY
269
SEMINARS IN VASCULAR SURGERY
264
STEREOTACTIC AND FUNCTIONAL NEUROSURGERY
83
SURGICAL INNOVATION
66
TECHNIQUES IN COLOPROCTOLOGY
614
WORLD JOURNAL OF SURGICAL ONCOLOGY
741
WORLD NEUROSURGERY
927
WOUND REPAIR AND REGENERATION
47
GLAND SURGERY
52
HAND SURGERY & REHABILITATION
420
JOURNAL OF CATARACT AND REFRACTIVE SURGERY
599
JOURNAL OF MINIMAL ACCESS SURGERY
20
JOURNAL OF PLASTIC RECONSTRUCTIVE AND AESTHETIC SURGERY
24
JOURNAL OF SURGICAL RESEARCH
44
NEUROCHIRURGIE
391
OPERATIVE TECHNIQUES IN SPORTS MEDICINE
140
SCANDINAVIAN JOURNAL OF SURGERY
22
SEMINARS IN PLASTIC SURGERY
131
SURGEON-JOURNAL OF THE ROYAL COLLEGES OF SURGEONS OF EDINBURGH AND IRELAND
356
SURGICAL CLINICS OF NORTH AMERICA
87
SURGICAL ONCOLOGY CLINICS OF NORTH AMERICA
61
THORACIC SURGERY CLINICS
59
WORLD JOURNAL OF PLASTIC SURGERY
20
TURKISH JOURNAL OF PLASTIC SURGERY
54
SURGICAL CASE REPORTS
510
SURGERY JOURNAL
167
SEMINARS IN COLON AND RECTAL SURGERY
130
ARCHIVES OF AESTHETIC PLASTIC SURGERY
20
BRAZILIAN NEUROSURGERY-ARQUIVOS BRASILEIROS DE NEUROCIRURGIA
209
CURRENT SURGERY REPORTS
105
EGYPTIAN JOURNAL OF SURGERY
40
EUROPEAN JOURNAL OF PEDIATRIC SURGERY REPORTS
102
EUROPEAN JOURNAL OF PLASTIC SURGERY
374
FORMOSAN JOURNAL OF SURGERY
76
GYNECOLOGICAL SURGERY
7
INDIAN JOURNAL OF NEUROSURGERY
178
INDIAN JOURNAL OF OTOLARYNGOLOGY AND HEAD & NECK SURGERY
1296
INDIAN JOURNAL OF VASCULAR AND ENDOVASCULAR SURGERY
150
JBJS ESSENTIAL SURGICAL TECHNIQUES
94
JBJS REVIEWS
215
JOURNAL OF HAND AND MICROSURGERY
100
JOURNAL OF ROBOTIC SURGERY
541
REVISTA ARGENTINA DE RESIDENTES DE CIRUGIA
167
PATIENT SAFETY IN SURGERY
99
EUROPEAN SURGERY-ACTA CHIRURGICA AUSTRIACA
163
INDIAN JOURNAL OF SURGERY
999
INTERNATIONAL JOURNAL OF COMPUTER ASSISTED RADIOLOGY AND SURGERY
613
JOURNAL OF GASTROINTESTINAL SURGERY
796
LASERS IN MEDICAL SCIENCE
661
NEUROSURGICAL REVIEW
694
OBESITY SURGERY
1079
PEDIATRIC SURGERY INTERNATIONAL
625
SURGICAL ENDOSCOPY AND OTHER INTERVENTIONAL TECHNIQUES
1385
UPDATES IN SURGERY
602
WORLD JOURNAL OF SURGERY
559
SCI Abstract
search
ALL
RECOMMENDED
+
Exploring 25 years of telesurgery research: comparative retrieval strategies and citation analysis of the top 100 most influential papers
This study presents a first comprehensive bibliometric analysis of telesurgery research published between January 2001 and...
Journal Of Robotic Surgery
comment
0
thumb_up
0
Da Vinci 5 in transoral robotic surgery: first impression
The latest update on the surgical robot most used for Transoral Robotic Surgery (TORS), the Da Vinci, comes in the form of...
Journal Of Robotic Surgery
comment
0
thumb_up
0
From telepresence to intelligent convergence: mapping the global research landscape of remote robotic surgery (1980–2025)
Remote robotic surgery (RRS) represents a frontier in surgical innovation, integrating robotics, artificial intelligence (...
Journal Of Robotic Surgery
comment
0
thumb_up
0
Transoral robotic surgery for supraglottic laryngeal cancer: A systematic review of functional outcomes and operative features
Transoral robotic surgery (TORS) is a minimally invasive option for supraglottic laryngeal carcinoma (SGLC) with potential...
Journal Of Robotic Surgery
comment
0
thumb_up
0
Construct validity and learning curve of six basic skill simulator exercises utilised by the Society of European Robotic Gynaecological Surgery (SERGS)
Robotic virtual reality (VR) simulators provide risk-free, reproducible training environments that may accelerate skill ac...
Journal Of Robotic Surgery
comment
0
thumb_up
0
Evaluation of a new robotic spinal surgical system for K-wire placement characterized by tracker registration and lateral force sensing
Efficient registration and high-precision K-wire guidance are critical for the effective performance of spinal surgical ro...
Journal Of Robotic Surgery
comment
0
thumb_up
0
Transitioning to hinotori™ robotic surgical system: early clinical outcomes and technical insights of a complete robotic platform switch
The advent of novel robotic platforms, like the hinotori™ Robotic Surgical System, introduced in our institution in ...
Journal Of Robotic Surgery
comment
0
thumb_up
0
The value of simulation for training general surgery novices in robotic surgery: a systematic review
Simulation is the go-to option for robotic surgery education, though little is known about its impact on patient-related o...
Journal Of Robotic Surgery
comment
0
thumb_up
0
Evaluating the Toumai MT‑1000 for urologic surgery: a systematic review and single-arm meta-analysis with remote and on-site experiences
The Toumai MT‑1000 is a next-generation robotic surgical system independently developed in China, equipped with tele...
Journal Of Robotic Surgery
comment
0
thumb_up
0
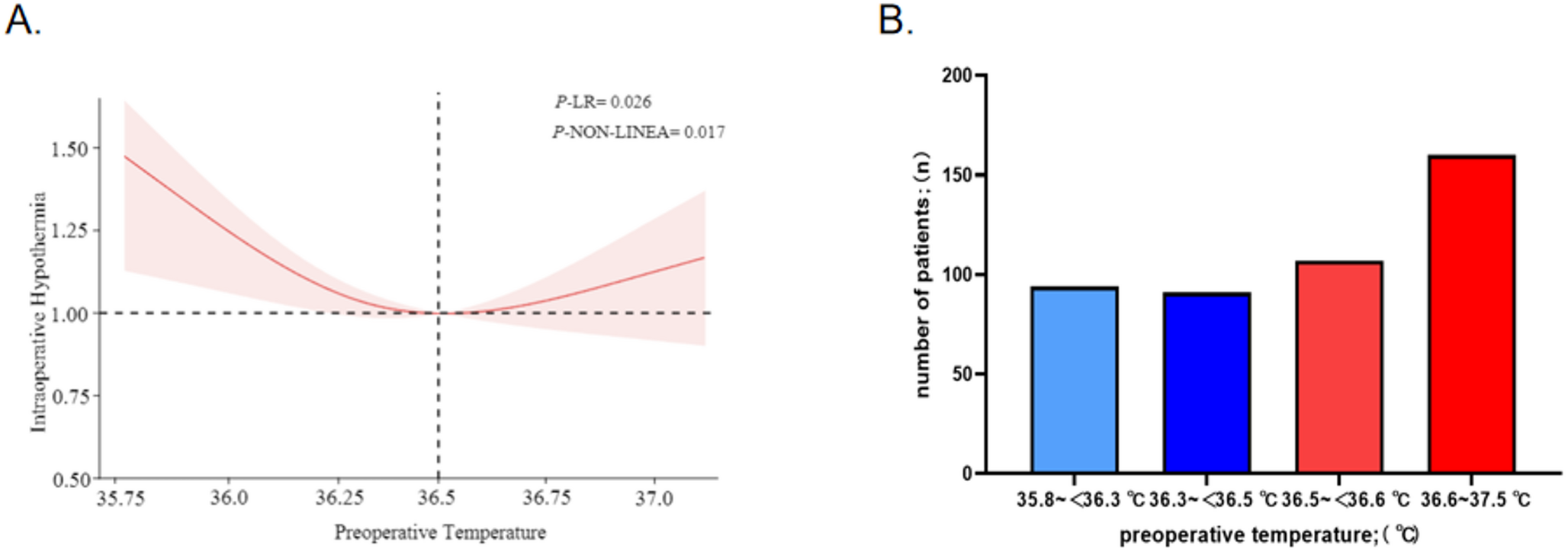
The relationship between preoperative temperature and intraoperative hypothermia in patients undergoing robotic colorectal cancer surgery
Intraoperative hypothermia (IOH) is a prevalent perioperative complication.Although the use of robotic surgery in addressi...
Journal Of Robotic Surgery
comment
0
thumb_up
0
Comparison of da Vinci SP and Xi surgical systems in urologic surgery: a systematic review and meta-analysis
To evaluate the perioperative outcomes, functional safety, and feasibility of the da Vinci SP versus the da Vinci XI surgi...
Journal Of Robotic Surgery
comment
0
thumb_up
0
Accuracy and potential risk factors of pedicle screw placement using a noninvasive-registration robotic system in the thoracolumbar spine
To evaluate the accuracy of screw placement using the ORTHBOT robotic system in degenerative spine surgeries at our instit...
Journal Of Robotic Surgery
comment
0
thumb_up
0
Global research trends in robot-assisted spinal surgery: a visualized bibliometric analysis
This study aims to systematically analyze the global research trends, knowledge structure, core hotspots, and evolutionary...
Journal Of Robotic Surgery
comment
0
thumb_up
0
Perioperative functional and oncologic outcomes of percutaneous thermal ablation (PTA) versus robot-assisted partial nephrectomy (RAPN) for cT1 renal tumors: a systematic review and meta-analysis
There is ongoing debate on the relative safety and effectiveness of robot-assisted partial nephrectomy (RAPN) and percutan...
Journal Of Robotic Surgery
comment
0
thumb_up
0
Global Training in Inflammatory Bowel Disease: Addressing Growing Challenges in IBD
Inflammatory Bowel Disease (IBD) is increasing in incidence globally, with low- and middle-income countries (LMICs) facing...
Techniques In Coloproctology
comment
0
thumb_up
0
Early results of modified anorectal mucopexy and hemorrhoidoplasty with transanal suture: a 21 patient case report of “Salinas-Cabrera procedure”
Transanal suture mucopexy was first described in 2012 by S. Chivate. A 21 patient with grade I to IV of Goligher scale hem...
Techniques In Coloproctology
comment
0
thumb_up
0
Incisional and parastomal hernias after harvesting of Vertical Rectus Abdominis Myocutaneous (VRAM) flaps: incidence, treatment options and outcomes
The Vertical Rectus Abdominis Myocutaneous (VRAM) flap is a versatile reconstructive technique but is associated with dono...
Techniques In Coloproctology
comment
0
thumb_up
0
Surgical outcomes on health-related quality of life in rectal prolapse: A systematic review and meta-analysis
Rectal prolapse is a serious but not life-threatening condition. It can involve many complications, including quality-of-l...
Techniques In Coloproctology
comment
0
thumb_up
0
What do colorectal specialists think about female participation in anal intercourse? An online survey of UK coloproctologists
Increasing participation in anal intercourse (AI) raises questions about its effects on the female anus. Societal change h...
Techniques In Coloproctology
comment
0
thumb_up
0
Hemopatch serosal reinforcement in right colectomy: transforming anastomotic leak patterns and severity compared to second-line suture technique—a 10-Year Retrospective Cohort Study of 352 patients
Anastomotic leakage remains a significant complication following colorectal surgery. This study evaluates safety and leak ...
Techniques In Coloproctology
comment
0
thumb_up
0
The rise of robotics: Surgical approaches for rectal cancer over time
Robotic surgery for rectal cancer has gained attention for addressing anatomic challenges, though concerns about cost, ope...
Techniques In Coloproctology
comment
0
thumb_up
0
Effectiveness of prophylactic three-dimensional mesh in preventing parastomal hernia in patients undergoing permanent end colostomy formation for rectal cancer: a systematic review
Parastomal hernia is a common complication after colostomy, especially end colostomy. It is unclear whether proph...
Techniques In Coloproctology
comment
0
thumb_up
0
Postoperative complication rates of surgeons during the supervised training program in robotic-assisted colorectal surgery
Robotic—assisted surgery (RAS) has established itself as an advanced technique in colorectal surgery, providing bett...
Techniques In Coloproctology
comment
0
thumb_up
0
Cutting edge updates in Complex Perianal Fístulas
We are pleased to announce a special edition of Techniques in Coloproctology titled “Cutting Edge Updates in Perianal Croh...
Techniques In Coloproctology
comment
0
thumb_up
0
Medical Models by Additive Manufacturing for Training
The practical training has become essential in the education of medical professionals. Thanks to the advancement of additi...
Techniques In Coloproctology
comment
0
thumb_up
0
Updates in Surgery
The aim of this series is to provide informative updates on hot topics in the areas of breast, endocrine, and abdominal su...
Techniques In Coloproctology
comment
0
thumb_up
0
Microsurgical approach versus endovascular treatment of craniocervical junction arteriovenous fistulas: A Systematic Review and Meta-analysis
Intracranial arteriovenous fistulas (AVFs) are abnormal vascular connections between the arterial and venous systems, repr...
Neurochirurgie
comment
0
thumb_up
0
Utility of sodium fluorescein in peripheral nerve tumor resection: A single institution experience
Peripheral nerve sheath tumors (PNST) are neoplastic growths of neural sheath Schwann cells and may be benign or malignant...
Neurochirurgie
comment
0
thumb_up
0
Interobserver reliability of the DESH score in idiopathic chronic hydrocephalus
Introductionidiopathic chronic hydrocephalus (iCH) is underdiagnosed in older adults. The diagnosis of iCH is important be...
Neurochirurgie
comment
0
thumb_up
0
Development and validation of a prediction model for pulmonary infection in elderly patients with traumatic brain injury
Traumatic brain injury (TBI), a highly devastating condition, is a prevalent acute severe disease that serves as a primary...
Neurochirurgie
comment
0
thumb_up
0
Load More
Modal title
×
Modal title
×
Share
Login
Global News and Health Forum
Join Now!
Member Login
Remember me
Forgot password?
Or using
Linkedin