×
Close
Sign Up
Login
Home
Library S
Library D
Events & Partner
WeMed
MDLA Events Platform
Events
Media Partners
Educational Partner
User Tools
FAQ/USER GUIDE
Language
English
中文/ Chinese
French
Português
Español
Arabic
Russian
Contact Us
×
Close
mdla_1
mdla_2
mdla_3
mdla_4
mdla_5
mdla_6
Categories
Biophysics
8191
Global Medical University
5113
Allergy
1797
Anatomy & Morphology
1583
Andrology
379
Anesthesia & Intensive Care
1291
Anesthesiology
5442
Audiology & Speech-Language Pathology
347
Behavioral Sciences
100
Biochemical Research Methods
7103
Biochemistry & Molecular Biology
29850
Biodiversity Conservation
345
Biology
8412
Biotechnology & Applied Microbiology
8576
Cardiac & Cardiovascular Systems
30874
Cardiovascular & Respiratory Systems
1370
Cell & Tissue Engineering
697
Cell Biology
11149
Chemistry, Analytical
4280
Chemistry, Applied
10842
Chemistry, Medicinal
8732
Chemistry, Multidisciplinary
18458
Clinical Immunology & Infectious Disease
436
Clinical Medicine
8939
Clinical Neurology
16529
Clinical Psychology & Psychiatry
1293
Critical Care Medicine
3176
Dentistry, Oral Surgery & Medicine
13438
Dermatology
7449
Developmental Biology
6868
Ecology
641
Education, Scientific Disciplines
2050
Emergency Medicine
4061
Endocrinology, Metabolism & Nutrition
24330
Engineering, Biomedical
3733
Entomology
449
Environmental Medicine & Public Health
4690
Evolutionary Biology
274
Gastroenterology & Hepatology
12187
General & Internal Medicine
6910
Genetics & Heredity
15002
Geriatrics & Gerontology
5095
Gerontology
366
Health Care Sciences & Services
16113
Health Policy & Services
646
Hematology
5583
Immunology
24568
Infectious Diseases
13948
Integrative & Complementary Medicine
2927
Medical Ethics
1230
Medical Informatics
2246
Medical Laboratory Technology
419
Medicine, General & Internal
44051
Medicine, Legal
532
Medicine, Research & Experimental
17669
Microbiology
23177
Mycology
0
Nanoscience & Nanotechnology
5458
Neuroimaging
1404
Neurology
4550
Neurosciences
39415
Nursing
9726
Nutrition & Dietetics
7834
Obstetrics & Gynecology
8235
Oncology
51921
Ophthalmology
9681
Optics
4263
Orthopedics
11693
Orthopedics, Rehabilitation & Sports Medicine
1796
Otolaryngology
1588
Otorhinolaryngology
4846
Parasitology
1132
Pathology
5111
Pediatrics
21502
Peripheral Vascular Disease
4794
Pharmacology & Pharmacy
35197
Pharmacology/Toxicology
12011
Physiology
8818
Polymer Science
531
Primary Health Care
868
Psychiatry
18941
Psychology
5214
Psychology, Applied
112
Psychology, Biological
388
Psychology, Clinical
807
Psychology, Developmental
257
Psychology, Educational
163
Psychology, Experimental
166
Psychology, Mathematical
0
Psychology, Multidisciplinary
1677
Psychology, Psychoanalysis
30
Psychology, Social
119
Public Health & Health Care Science
2230
Public, Environmental & Occupational Health
26984
Quantum Science & Technology
0
Radiology, Nuclear Medicine & Imaging
12303
Radiology, Nuclear Medicine & Medical Imaging
8056
Rehabilitation
3027
Remote Sensing
0
Reproductive Biology
2851
Reproductive Medicine
1187
Research/Laboratory Medicine & Medical Technology
3963
Respiratory System
7391
Rheumatology
6028
Social Sciences, Biomedical
1190
Substance Abuse
2739
Surgery
33608
Toxicology
4434
Transplantation
948
Tropical Medicine
300
Urology & Nephrology
12899
Veterinary Sciences
35
Virology
2514
Zoology
0
Channels
PHOTOCHEMICAL & PHOTOBIOLOGICAL SCIENCES
526
ARCHIVES OF BIOCHEMISTRY AND BIOPHYSICS
0
CURRENT OPINION IN CHEMICAL BIOLOGY
304
INTERNATIONAL JOURNAL OF BIOCHEMISTRY & CELL BIOLOGY
331
INTERNATIONAL JOURNAL OF BIOLOGICAL MACROMOLECULES
4764
NATURE STRUCTURAL & MOLECULAR BIOLOGY
540
WILEY INTERDISCIPLINARY REVIEWS-SYSTEMS BIOLOGY AND MEDICINE
24
BIOCHEMICAL AND BIOPHYSICAL RESEARCH COMMUNICATIONS
0
BIOINTERPHASES
49
JOURNAL OF BIOMECHANICS
1017
PHOTOCHEMISTRY AND PHOTOBIOLOGY
170
PROTEINS-STRUCTURE FUNCTION AND BIOINFORMATICS
205
CELL BIOCHEMISTRY AND BIOPHYSICS
261
SCI Abstract
search
ALL
RECOMMENDED
+
Glyphosate exposure did not increase the risk of UVR-induced skin tumors in hairless mice
Glyphosate (GLY) is the most widely used pesticide in the world. Agricultural workers are exposed to GLY via ingestion and...
Photochemical & Photobiological Sciences
comment
0
thumb_up
0
The double plate in vitro SPF test method (ISO23675:2024) is a reliable means of measuring the performance of sunscreen products with high concentrations of zinc oxide and inorganic-only UV filters
Sunscreen products and cosmetics containing UV filters are chosen by consumers based primarily on their Sun Protection Fac...
Photochemical & Photobiological Sciences
comment
0
thumb_up
0
Infrared gas analyzer as a cutting-edge tool for studying photosynthesis in marine microalgae: a case study on
Photosynthesis is a fundamental process in microalgae, playing a crucial role in global carbon cycling and biotechnologica...
Photochemical & Photobiological Sciences
comment
0
thumb_up
0
Photochemical access to flavone- and aurone-fused estrone derivatives
The fusion of privileged heterocyclic scaffolds with biologically relevant structures represents a powerful strategy for d...
Photochemical & Photobiological Sciences
comment
0
thumb_up
0
Synthesis and characterization of a copper oxide/bismuth molybdate heterostructure for ciprofloxacin degradation via photoelectrocatalysis
A simple electrochemical method and dip-coating method were both used to synthesize novel heterostructures based on copper...
Photochemical & Photobiological Sciences
comment
0
thumb_up
0
The extract of dendrobium Coelonin inhibits PIH induced by AFR CO fractional laser combined with UV-B
Post-inflammatory hyperpigmentation (PIH) is a reaction process caused by an increase in melanin or abnormal melanin distr...
Photochemical & Photobiological Sciences
comment
0
thumb_up
0
Aspects of pathogen inactivation via absorption of short-pulse UV-C irradiation for advanced decontamination strategies
The COVID-19 pandemic has intensified the need for advanced pathogen inactivation strategies, with ultraviolet-C (UV-C) ra...
Photochemical & Photobiological Sciences
comment
0
thumb_up
0
Obituary: Allen P Miller, Founder, Sunshine Health Foundation
Allen P Miller passed away peacefully on August 25, 2025, in the hospital, at the age...
Photochemical & Photobiological Sciences
comment
0
thumb_up
0
Illuminating the dark majority: photobiology of nonphotosynthetic bacteria
Nonphotosynthetic bacteria represent the majority of prokaryotic diversity across virtually all terrestrial and host-assoc...
Photochemical & Photobiological Sciences
comment
0
thumb_up
0
Design of 222 nm UV-C experimental device and experiment on the effect of radiation on the quality of post-harvested fresh tomatoes
To investigate the effect of safe and green 222 nm UV-C irradiation on the sterilization, disinfection, and stora...
Photochemical & Photobiological Sciences
comment
0
thumb_up
0
Antitumor, biological and nonlinear optical activities of novel thiazolidines
The novel series of 3-acetyl phenylthiazolidine-4-carboxyamide derivatives were prepared, structurally characterized by FT...
Photochemical & Photobiological Sciences
comment
0
thumb_up
0
Novel ruthenium(II) polypyridyl complexes conjugated with bis-dipicolylamine as antibacterial photosensitisers
The inexorable and rapid rise of antimicrobial resistance in various Gram-positive and Gram-negative bacteria strains is s...
Photochemical & Photobiological Sciences
comment
0
thumb_up
0
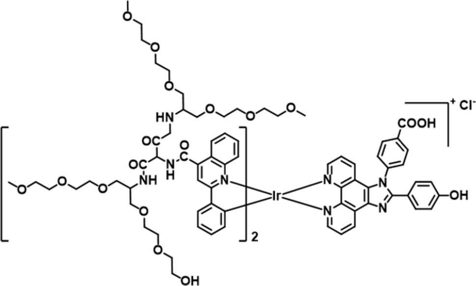
Combining NAD(P)H-FLIM and PLIM of Ir5 pH sensor to optimize photodynamic therapy through metabolic intracellular pattern segmentation
Metabolic Fluorescence Lifetime Imaging Microscopy (FLIM) algorithms have become invaluable tools for exploring deep into ...
Photochemical & Photobiological Sciences
comment
0
thumb_up
0
Pre-treatment with caffeic acid-phthalimide prevents UVB-induced oxidative stress and cytotoxicity
Prolonged exposure to Ultraviolet B (UVB) rays increases oxidative stress, causes direct DNA photolesions—particular...
Photochemical & Photobiological Sciences
comment
0
thumb_up
0
New cationic diketopyrrolopyrrole photosensitizers for the photoinactivation of gram-negative and gram-positive bacteria
Diketopyrrolopyrroles (DPP) are a versatile group of dyes and pigments with a wide range of applications, namely in the bi...
Photochemical & Photobiological Sciences
comment
0
thumb_up
0
Changes in ultraviolet B radiation-induced DNA damage and erythema after oral nicotinamide and polypodium leucotomos in healthy volunteers: an intraindividual controlled trial
Skin cancer, primarily caused by ultraviolet radiation (UVR), is the most common malignancy worldwide. The increasing inci...
Photochemical & Photobiological Sciences
comment
0
thumb_up
0
The Charge-driven Engineering of Mnemiopsin 2: Impact of Serine 35 Mutation on Activity and Stability
Bioluminescence in marine organisms, driven by photoproteins like mnemiopsin 2 from Mnemiopsis leidyi, relies on calcium-r...
Photochemical & Photobiological Sciences
comment
0
thumb_up
0
Reactions to disclosed biofeedback information on skin DNA damage in individuals after a beach holiday: a mixed methods intervention study
The incidence of skin cancer among Danes is one of the highest in the world. Most skin cancers are, however, avoidable wit...
Photochemical & Photobiological Sciences
comment
0
thumb_up
0
β-Nicotinamide mononucleotide blocks UVB-induced collagen reduction via regulation of ROS/MAPK/AP-1 and stimulation of mitochondrial proline biosynthesis
β-Nicotinamide mononucleotide (NMN), as a precursor of long-lived protein co-factor nicotinamide adenine dinucleotide...
Photochemical & Photobiological Sciences
comment
0
thumb_up
0
Enhancing antitumour immunity with photodynamic therapy
In this perspective, we present and discuss pre-clinical and some clinical studies demonstrating that local photodynamic t...
Photochemical & Photobiological Sciences
comment
0
thumb_up
0
Pt-doped g-CN photocatalyst for simultaneous hydrogen production and value-added chemical synthesis under visible light
Metal-free photocatalysts, especially through the use of semi-conductors g-C3N4 (graphitic carbon nitride, CN) have become...
Photochemical & Photobiological Sciences
comment
0
thumb_up
0
pv. regulates virulence mechanisms by sensing blue light
Light is an environmental stimulus to which all living organisms are exposed. Numerous studies have shown that bacteria ca...
Photochemical & Photobiological Sciences
comment
0
thumb_up
0
A pyrene-based fluorescent probe for HS detection and cellular imaging
Hydrogen sulfide (H2S) is a significant reactive sulfur species (RSS) involved in various human diseases, also playing an ...
Photochemical & Photobiological Sciences
comment
0
thumb_up
0
The wound healing effects of linearly polarized irradiation in photobiomodulation
We report the fabrication of a polarization-based photobiomodulation (PBM) system and its performance on wound healing eff...
Photochemical & Photobiological Sciences
comment
0
thumb_up
0
Targeted photodynamic elimination of HER2 breast cancer cells mediated by antibody–photosensitizer fusion proteins
Breast cancer has emerged as the leading cause of cancer death in women worldwide. The high recurrence and metastasis rate...
Photochemical & Photobiological Sciences
comment
0
thumb_up
0
Emerging role of ferroptosis in ultraviolet radiation-driven skin photoaging: a narrative review
Photoaging is characterized by chronic inflammation in response to ultraviolet (UV) radiation. UV radiation causes skin ce...
Photochemical & Photobiological Sciences
comment
0
thumb_up
0
UVA-light-induced mutagenesis in the exome of human nucleotide excision repair-deficient cells
Skin cancer is associated with genetic mutations caused by sunlight exposure, primarily through ultraviolet (UV) radiation...
Photochemical & Photobiological Sciences
comment
0
thumb_up
0
Photocatalytic conversion of copper (II) ions to metallic copper (0) on TiO nanoparticles
Under the initiative of the United Nations Sustainable Development Goals (SDGs), utilization of clean energy for metallurg...
Photochemical & Photobiological Sciences
comment
0
thumb_up
0
Synergic anti-tumor effects of photodynamic therapy and resveratrol on triple-negative breast cancer cells
Breast cancer is a widespread type of cancer found across the world. The use of chemotherapy in breast cancer treatment ma...
Photochemical & Photobiological Sciences
comment
0
thumb_up
0
Environmental consequences of interacting effects of changes in stratospheric ozone, ultraviolet radiation, and climate: UNEP Environmental Effects Assessment Panel, Update 2024
This Assessment Update by the Environmental Effects Assessment Panel (EEAP) of the United Nations Environment Programme (U...
Photochemical & Photobiological Sciences
comment
0
thumb_up
0
Load More
Modal title
×
Modal title
×
Share
Login
Global News and Health Forum
Join Now!
Member Login
Remember me
Forgot password?
Or using
Linkedin