×
Close
Sign Up
Login
Home
Library S
Library D
Events & Partner
WeMed
MDLA Events Platform
Events
Media Partners
Educational Partner
User Tools
FAQ/USER GUIDE
Language
English
中文/ Chinese
French
Português
Español
Arabic
Russian
Contact Us
×
Close
mdla_1
mdla_2
mdla_3
mdla_4
mdla_5
mdla_6
Categories
Microbiology
23301
Global Medical University
5183
Allergy
1797
Anatomy & Morphology
1557
Andrology
379
Anesthesia & Intensive Care
1283
Anesthesiology
5469
Audiology & Speech-Language Pathology
347
Behavioral Sciences
100
Biochemical Research Methods
7147
Biochemistry & Molecular Biology
30003
Biodiversity Conservation
345
Biology
8467
Biophysics
8235
Biotechnology & Applied Microbiology
8619
Cardiac & Cardiovascular Systems
31095
Cardiovascular & Respiratory Systems
1386
Cell & Tissue Engineering
697
Cell Biology
11205
Chemistry, Analytical
4295
Chemistry, Applied
10944
Chemistry, Medicinal
8741
Chemistry, Multidisciplinary
18552
Clinical Immunology & Infectious Disease
454
Clinical Medicine
8956
Clinical Neurology
16633
Clinical Psychology & Psychiatry
1312
Critical Care Medicine
3207
Dentistry, Oral Surgery & Medicine
13514
Dermatology
7470
Developmental Biology
6919
Ecology
645
Education, Scientific Disciplines
2077
Emergency Medicine
4091
Endocrinology, Metabolism & Nutrition
24503
Engineering, Biomedical
3763
Entomology
450
Environmental Medicine & Public Health
4726
Evolutionary Biology
268
Gastroenterology & Hepatology
12230
General & Internal Medicine
6967
Genetics & Heredity
15102
Geriatrics & Gerontology
5133
Gerontology
370
Health Care Sciences & Services
16195
Health Policy & Services
651
Hematology
5611
Immunology
24750
Infectious Diseases
13994
Integrative & Complementary Medicine
2935
Medical Ethics
1221
Medical Informatics
2273
Medical Laboratory Technology
419
Medicine, General & Internal
44295
Medicine, Legal
532
Medicine, Research & Experimental
17754
Mycology
0
Nanoscience & Nanotechnology
5442
Neuroimaging
1396
Neurology
4550
Neurosciences
39758
Nursing
9717
Nutrition & Dietetics
7868
Obstetrics & Gynecology
8295
Oncology
52296
Ophthalmology
9732
Optics
4271
Orthopedics
11783
Orthopedics, Rehabilitation & Sports Medicine
1818
Otolaryngology
1592
Otorhinolaryngology
4868
Parasitology
1143
Pathology
5114
Pediatrics
21654
Peripheral Vascular Disease
4832
Pharmacology & Pharmacy
35348
Pharmacology/Toxicology
12106
Physiology
8907
Polymer Science
533
Primary Health Care
871
Psychiatry
19102
Psychology
5220
Psychology, Applied
112
Psychology, Biological
389
Psychology, Clinical
812
Psychology, Developmental
244
Psychology, Educational
169
Psychology, Experimental
166
Psychology, Mathematical
0
Psychology, Multidisciplinary
1688
Psychology, Psychoanalysis
30
Psychology, Social
119
Public Health & Health Care Science
2248
Public, Environmental & Occupational Health
27117
Quantum Science & Technology
0
Radiology, Nuclear Medicine & Imaging
12411
Radiology, Nuclear Medicine & Medical Imaging
8116
Rehabilitation
3057
Remote Sensing
0
Reproductive Biology
2863
Reproductive Medicine
1196
Research/Laboratory Medicine & Medical Technology
3974
Respiratory System
7430
Rheumatology
6056
Social Sciences, Biomedical
1203
Substance Abuse
2758
Surgery
33802
Toxicology
4443
Transplantation
948
Tropical Medicine
300
Urology & Nephrology
13035
Veterinary Sciences
35
Virology
2505
Zoology
0
Channels
BMC MICROBIOLOGY
738
ANTIMICROBIAL AGENTS AND CHEMOTHERAPY
50
ANTIMICROBIAL RESISTANCE AND INFECTION CONTROL
381
APPLIED AND ENVIRONMENTAL MICROBIOLOGY
52
CELLULAR MICROBIOLOGY
33
CLINICAL MICROBIOLOGY REVIEWS
6
FRONTIERS IN MICROBIOLOGY
7394
GUT PATHOGENS
158
INTERNATIONAL JOURNAL OF ANTIMICROBIAL AGENTS
721
INTERNATIONAL JOURNAL OF FOOD MICROBIOLOGY
769
JOURNAL OF BACTERIOLOGY
36
JOURNAL OF CLINICAL MICROBIOLOGY
15
MICROBIOLOGY AND MOLECULAR BIOLOGY REVIEWS
17
MOLECULAR MICROBIOLOGY
169
NATURE MICROBIOLOGY
592
NATURE REVIEWS MICROBIOLOGY
434
PATHOGENS
1787
VIRUSES-BASEL
2611
ANAEROBE
342
ANNALS OF CLINICAL MICROBIOLOGY AND ANTIMICROBIALS
217
APMIS
47
BIOSCIENCE OF MICROBIOTA FOOD AND HEALTH
1
BRAZILIAN JOURNAL OF MICROBIOLOGY
0
DIAGNOSTIC MICROBIOLOGY AND INFECTIOUS DISEASE
530
INDIAN JOURNAL OF MICROBIOLOGY
957
INTERNATIONAL JOURNAL OF SYSTEMATIC AND EVOLUTIONARY MICROBIOLOGY
959
JOURNAL OF BASIC MICROBIOLOGY
104
JOURNAL OF MEDICAL MICROBIOLOGY
217
JOURNAL OF MOLECULAR MICROBIOLOGY AND BIOTECHNOLOGY
31
JUNDISHAPUR JOURNAL OF MICROBIOLOGY
32
METHODS IN MICROBIOLOGY
0
MICROBIOLOGY
328
POLISH JOURNAL OF MICROBIOLOGY
20
SYSTEMATIC AND APPLIED MICROBIOLOGY
211
VIROLOGICA SINICA
107
YEAST
32
CURRENT CLINICAL MICROBIOLOGY REPORTS
88
IRANIAN JOURNAL OF MICROBIOLOGY
283
JOURNAL OF MICROBIOLOGY & BIOLOGY EDUCATION
0
REVIEWS IN MEDICAL MICROBIOLOGY
102
MICROBIAL CELL
84
MICROBIOLOGY RESEARCH
101
CURRENT MICROBIOLOGY
960
EUROPEAN JOURNAL OF CLINICAL MICROBIOLOGY & INFECTIOUS DISEASES
502
JOURNAL OF MICROBIOLOGY
317
WORLD JOURNAL OF MICROBIOLOGY & BIOTECHNOLOGY
766
SCI Abstract
search
ALL
RECOMMENDED
+
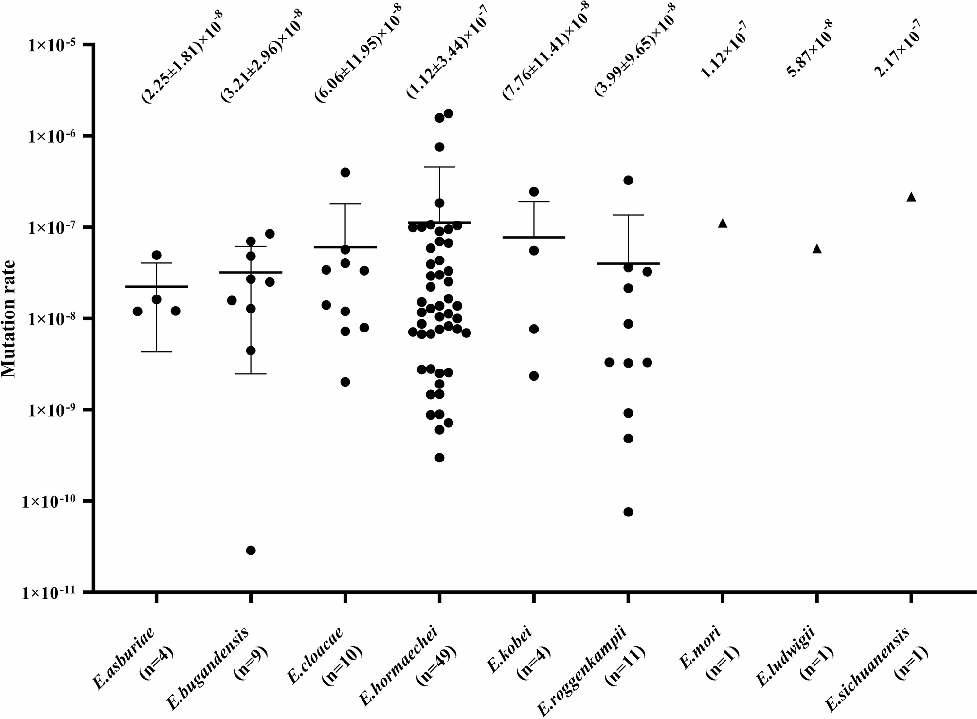
Correlation between the mutation rates for ampC derepression and species or ampC genotypes in Enterobacter cloacae complex
In this study, we investigated the correlation between the mutation rates for ampC derepression and species or ampC genoty...
Bmc Microbiology
comment
0
thumb_up
0
Gut microbiota dysbiosis promotes coronary heart disease comorbid with depression through lipopolysaccharides and Toll-like receptor 4
Coronary heart disease (CHD) and depression often coexist and complicate patient care. The gut microbiota plays a crucial ...
Bmc Microbiology
comment
0
thumb_up
0
Ligilactobacillus salivarius alleviated intestinal damage induced by Salmonella in mice via regulating microbiota
Salmonella is a major foodborne etiological agent with serious drug resistance, and the pursuit of novel therapeutic agent...
Bmc Microbiology
comment
0
thumb_up
0
Complete genome sequencing and probiotic characterization of promising lactic acid bacterial strains isolated from dairy products in Egyptian markets
Probiotics refer to live bacteria that, when administered in a sufficiently, exert a beneficial influence on human health....
Bmc Microbiology
comment
0
thumb_up
0
Compound lactic acid bacteria enhance the aerobic stability of Sesbania cannabina and corn mixed silage
The strategic delay of aerobic deterioration in Sesbania cannabina and corn (SC) mixed silage, coupled with effective ferm...
Bmc Microbiology
comment
0
thumb_up
0
Effects of Lactiplantibacillus plantarum HNU082 intervention on fungi and bacteriophages in different intestinal segments of mice
Gut fungi and bacteriophages, as members of the gut microbiota, can affect the interactions between gut bacteria and the h...
Bmc Microbiology
comment
0
thumb_up
0
Optimization of citrulline production from a Bacillus subtilis BH-01 isolated from raw buffalo milk
The main purpose of this study was to optimize the L-citrulline production process using Plackett-Burman and Box-Behnken d...
Bmc Microbiology
comment
0
thumb_up
0
Extreme trophic tales: deciphering bacterial diversity and potential functions in oligotrophic and hypereutrophic lakes
Oligotrophy and hypereutrophy represent the two extremes of lake trophic states, and understanding the distribution of bac...
Bmc Microbiology
comment
0
thumb_up
0
Evaluation of 1021Bp, a close relative of Pseudomonas eucalypticola, for potential of plant growth promotion, fungal pathogen suppression and boxwood blight control
Pseudomonas eucalypticola, a new species of the P. fluorescens group that generates most Pseudomonas-based biocontrol agen...
Bmc Microbiology
comment
0
thumb_up
0
Linezolid-resistant Enterococcus faecium clinical isolates from Pakistan: a genomic analysis
Linezolid-resistant Enterococcus faecium (LRE) is a global priority pathogen. Thirteen LRE were reported from clinical spe...
Bmc Microbiology
comment
0
thumb_up
0
Isolate distribution and antifungal susceptibility of Saccharomyces cerevisiae in the national regional medical center of Southwest China for women and children during 2018–2023
Saccharomyces cerevisiae has been considered a harmless yeast, but in recent years, increasing evidence has shown that it ...
Bmc Microbiology
comment
0
thumb_up
0
Distribution of chaperone-usher fimbriae and curli fimbriae among uropathogenic Escherichia coli
In the present study, we aimed to determine the frequency of the csgA, fimH, mrkD, foc, papaGI, papGII and papGIII genes, ...
Bmc Microbiology
comment
0
thumb_up
0
The bacterial patterns suggesting the dynamic features of tick-associated microorganisms in hard ticks
Ticks are blood-feeding significant arthropods that can harbour various microorganisms, including pathogens that pose heal...
Bmc Microbiology
comment
0
thumb_up
0
Identification of carbohydrate gene clusters obtained from in vitro fermentations as predictive biomarkers of prebiotic responses
Prebiotic fibers are non-digestible substrates that modulate the gut microbiome by promoting expansion of microbes having ...
Bmc Microbiology
comment
0
thumb_up
0
Uncovering the lignin-degrading potential of Serratia quinivorans AORB19: insights from genomic analyses and alkaline lignin degradation
Lignin is an intricate phenolic polymer found in plant cell walls that has tremendous potential for being converted into v...
Bmc Microbiology
comment
0
thumb_up
0
Retraction Note: Antimicrobial and anti-biofilm potencies of dermcidin-derived peptide DCD-1 L against Acinetobacter baumannii: an in vivo wound healing model
Open Access This article is licensed under a Creative Commons Attribution 4.0 International License, whi...
Bmc Microbiology
comment
0
thumb_up
0
Spotting disease disrupts the microbiome of infected purple sea urchins, Strongylocentrotus purpuratus
Spotting disease infects a variety of sea urchin species across many different marine locations. The disease is characteri...
Bmc Microbiology
comment
0
thumb_up
0
Microbiome as a biomarker and therapeutic target in pancreatic cancer
Studying the effects of the microbiome on the development of different types of cancer has recently received increasing re...
Bmc Microbiology
comment
0
thumb_up
0
Novel Organism Verification and Analysis (NOVA) study: identification of 35 clinical isolates representing potentially novel bacterial taxa using a pipeline based on whole genome sequencing
Reliable species identification of cultured isolates is essential in clinical bacteriology. We established a new study alg...
Bmc Microbiology
comment
0
thumb_up
0
The rumen-derived Lact. mucosae LLK-XR1 exhibited greater free gossypol degradation capacity during solid-state fermentation of cottonseed meal and probiotic potential
This study aimed to isolate the rumen-derived bacteria with the ability to degrade free gossypol (FG), and to evaluate the...
Bmc Microbiology
comment
0
thumb_up
0
Carbon dioxide and trace oxygen concentrations impact growth and product formation of the gut bacterium Phocaeicola vulgatus
The promising yet barely investigated anaerobic species Phocaeicola vulgatus (formerly Bacteroides vulgatus) plays a vital...
Bmc Microbiology
comment
0
thumb_up
0
Staphylococcal superantigen-like protein 10 enhances the amyloidogenic biofilm formation in Staphylococcus aureus
Staphylococcus aureus is a highly infectious pathogen that represents a significant burden on the current healthcare syste...
Bmc Microbiology
comment
0
thumb_up
0
Gut dysbacteriosis induces expression differences in the adult head transcriptome of Spodoptera frugiperda in a sex-specific manner
Mounting evidence indicates that the gut microbiota influences the neurodevelopment and behavior of insects through the gu...
Bmc Microbiology
comment
0
thumb_up
0
Magnitude of extended-spectrum β-lactamase and carbapenemase producing Enterobacteriaceae among commonly vended street foods in Arba Minch town, southern Ethiopia
The rising prevalence of extended-spectrum beta-lactamase and carbapenemase-producing Enterobacteriaceae (ESβL-PE) in...
Bmc Microbiology
comment
0
thumb_up
0
Phenotypic and genotypic characterization of colistin-resistant Escherichia Coli with mcr-4, mcr-5, mcr-6, and mcr-9 genes from broiler chicken and farm environment
Colistin is an antibiotic used as a last-resort to treat multidrug-resistant Gram-negative bacterial infections. Colistin ...
Bmc Microbiology
comment
0
thumb_up
0
Glycerol and reuterin-producing Limosilactobacillus reuteri enhance butyrate production and inhibit Enterobacteriaceae in broiler chicken cecal microbiota PolyFermS model
Administering probiotic strains of Limosilactobacillus reuteri to poultry has been shown to improve poultry performance an...
Bmc Microbiology
comment
0
thumb_up
0
Multi-omics analyses of gut microbiota via 16S rRNA gene sequencing, LC-MS/MS and diffusion tension imaging reveal aberrant microbiota-gut-brain axis in very low or extremely low birth weight infants with white matter injury
The goal of this study was to comprehensively investigate the characteristics of gut microbiota dysbiosis and metabolites ...
Bmc Microbiology
comment
0
thumb_up
0
Genomic and phenotypic analysis of a novel clinical isolate of Corynebacterium pyruviciproducens
Corynebacterium pyruviciproducens is a recently described species of Corynebacterium. There are few reports on the microbi...
Bmc Microbiology
comment
0
thumb_up
0
Helicobacter pylori infection and small intestinal bacterial overgrowth: a systematic review and meta-analysis
There is a link between Helicobacter pylori (HP) infection and small intestinal bacterial overgrowth (SIBO) with nonspecif...
Bmc Microbiology
comment
0
thumb_up
0
Targeted elimination of Vancomycin resistance gene vanA by CRISPR-Cas9 system
The purpose of this study is to reduce the spread of the vanA gene by curing the vanA-harboring plasmid of vancomycin-resi...
Bmc Microbiology
comment
0
thumb_up
0
Load More
Modal title
×
Modal title
×
Share
Login
Global News and Health Forum
Join Now!
Member Login
Remember me
Forgot password?
Or using
Linkedin